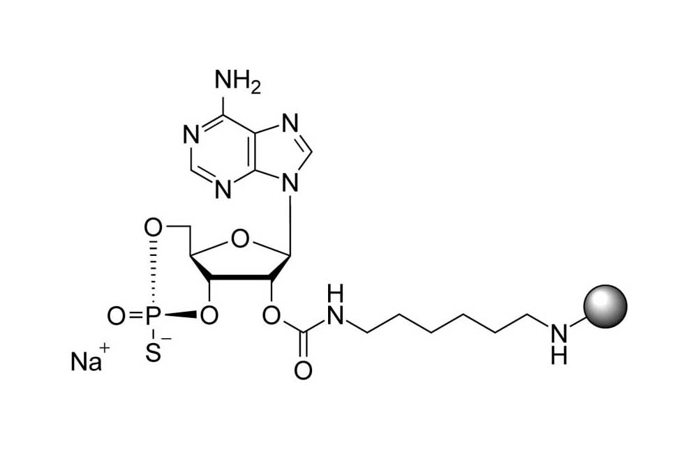
The protein kinase A inhibitor Rp-cAMPS immobilized on agarose by an aminohexylcarbamoyl spacer attached to the ribose 2′ position of the ligand. The gel can be used for affinity chromatography of various cyclic nucleotide-responsive proteins, especially those which tolerate modification of the 2′ ribose hydroxyl group such as some phosphodiesterases. This type of gel is also available with immobilized PDE-resistant Sp-cAMPS (Sp-2′-AHC-cAMPS-Agarose (Prod. No. BLG-A050)) or with normal cAMP (2′-AHC-cAMP-Agarose (Prod. No.: BLG-A058)).
Shipping: Available products typically ship within 24/48h, via priority shipping.
Do you need support? Contact Customer Service or Technical Support.
Online Account
Access or Create Your Account
| Regulatory Status |
RUO – Research Use Only |
|---|
Lab Essentials
AMPIVIEW® RNA probes
Enabling Your Projects
GMP Services
Bulk Solutions
Research Travel Grant
Have You Published Using an Enzo Product?
