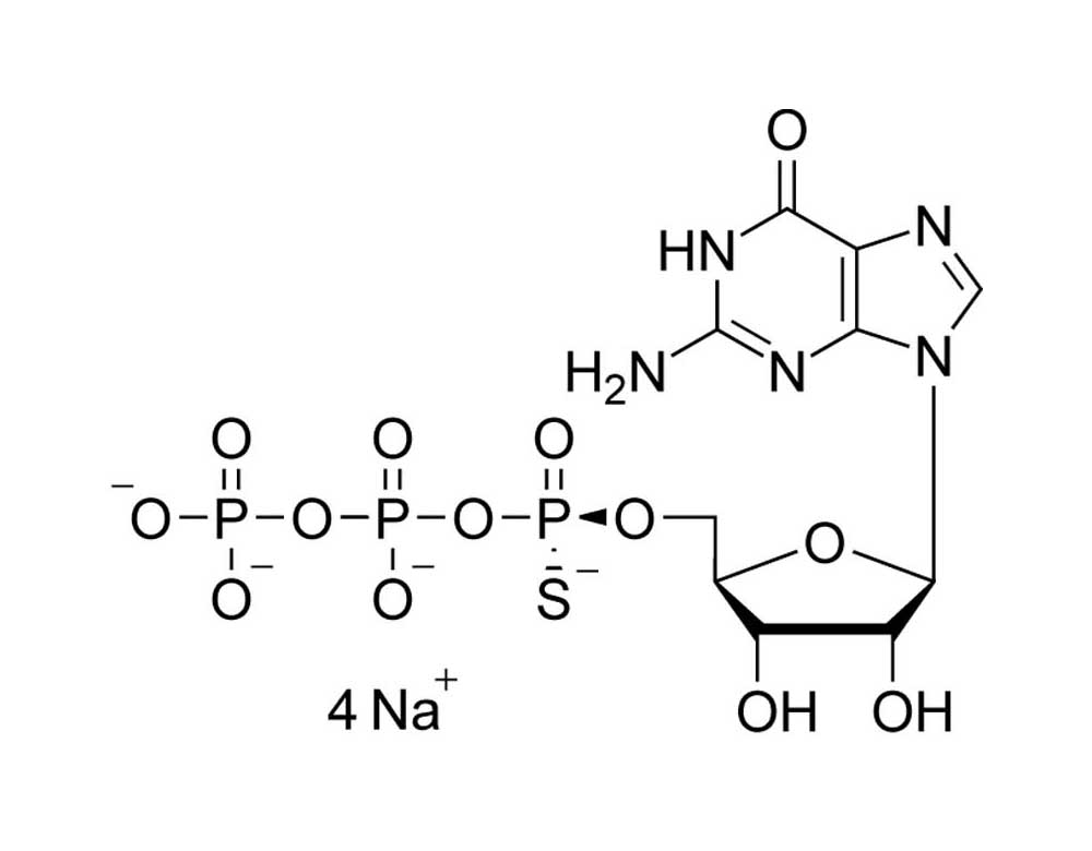
Inhibitor or activator of GTP binding proteins with often increased metabolic stability. Inhibitor of photoreceptor guanylate cyclase. Useful for characterization of GTP-responsive receptors and determination of their stereospecificity.
BLG-G014-25 (5 x 5 µmol pack size) is not sold in the U.S. or Canada. Please contact us for available options.
Shipping: Available products typically ship within 24/48h, via priority shipping.
Do you need support? Contact Customer Service or Technical Support.
Online Account
Access or Create Your Account
| Regulatory Status |
RUO – Research Use Only |
|---|
Lab Essentials
AMPIVIEW® RNA probes
Enabling Your Projects
GMP Services
Bulk Solutions
Research Travel Grant
Have You Published Using an Enzo Product?
