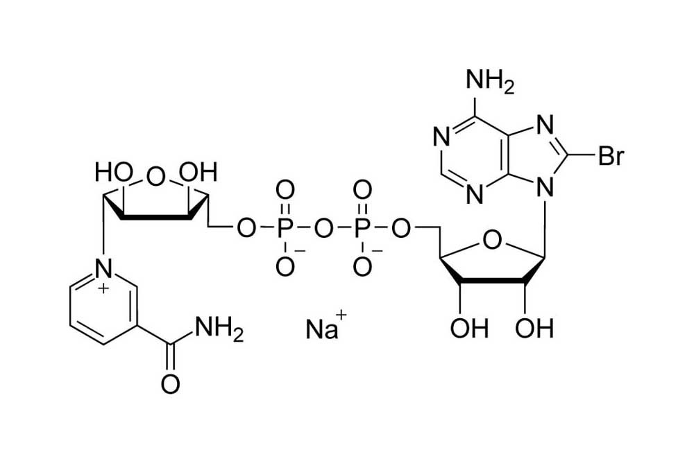
8-Br-NAD+ is an analogue of β-NAD+ that can be utilized as a substrate by the ADP-ribosyl cyclase CD38 to produce the cADPR antagonist 8-Br-cADPR (Prod. No. BLG-B065).
BLG-N017-50 (5 x 10 µmol pack size) is not sold in the U.S. or Canada. Please contact us for available options.
Shipping: Available products typically ship within 24/48h, via priority shipping.
Do you need support? Contact Customer Service or Technical Support.
Online Account
Access or Create Your Account
| Regulatory Status |
RUO – Research Use Only |
|---|
Lab Essentials
AMPIVIEW® RNA probes
Enabling Your Projects
GMP Services
Bulk Solutions
Research Travel Grant
Have You Published Using an Enzo Product?
