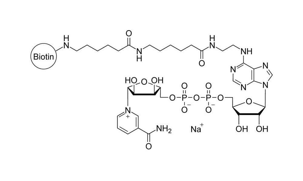
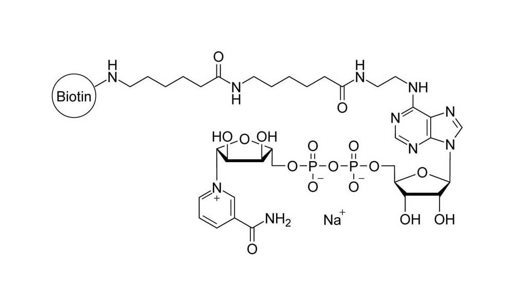
6-Biotin-17-NAD+ is a biotinylated analogue of β-NAD+ which can provide a non-radioactive alternative to radio-labelled β-NAD+ for corresponding studies.
BLG-N012-005 (5 x 0.1 µmol pack size) is not sold in the U.S. or Canada. Please contact us for available options.
Shipping: Available products typically ship within 24/48h, via priority shipping.
Do you need support? Contact Customer Service or Technical Support.
Online Account
Access or Create Your Account
| Regulatory Status |
RUO – Research Use Only |
|---|
Lab Essentials
AMPIVIEW® RNA probes
Enabling Your Projects
GMP Services
Bulk Solutions
Research Travel Grant
Have You Published Using an Enzo Product?