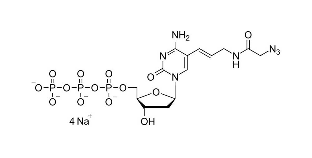
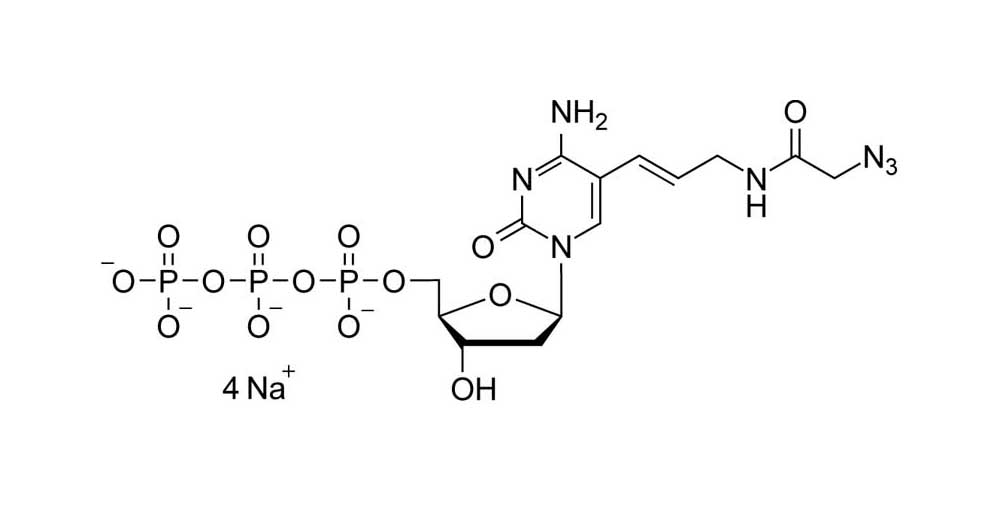
The azide-containing 5-N3Ac-AA-dCTP is an analogue of dCTP and a suitable molecular tool for the copper(I)-catalysed Huisgen azide-alkyne [3+2] cycloaddition (CuAAC) or copper(I)-free strain-promoted Alkyne-Azide Click Chemistry (SPAAC) with strained alkynes, respectively. Both reactions have attracted particular interest for the introduction of reporter groups and for the labelling of various biomolecules like dCTP-binding proteins by the so-called click-chemistry technique. 5-Azide-functionalised pyrimidine nucleotides can replace their natural counterpart dCTP in polymerase reactions, resulting in functionalized DNA that can subsequently be further reacted and modified using click chemistry methods.
BLG-A385-0125 (5 x 0.25 µmol pack size) is not sold in the U.S. or Canada. Please contact us for available options.
Shipping: Available products typically ship within 24/48h, via priority shipping.
Do you need support? Contact Customer Service or Technical Support.
Online Account
Access or Create Your Account
| Regulatory Status |
RUO – Research Use Only |
|---|
Lab Essentials
AMPIVIEW® RNA probes
Enabling Your Projects
GMP Services
Bulk Solutions
Research Travel Grant
Have You Published Using an Enzo Product?
